HL Paper 2
Bonds can be formed in many ways.
The equilibrium for a mixture of NO2 and N2O4 gases is represented as:
2NO2(g) N2O4(g)
At 100°C, the equilibrium constant, Kc, is 0.21.
Bonds can be formed in many ways.
Discuss the bonding in the resonance structures of ozone.
Deduce one resonance structure of ozone and the corresponding formal charges on each oxygen atom.
The first six ionization energies, in kJ mol–1, of an element are given below.

Explain the large increase in ionization energy from IE3 to IE4.
At a given time, the concentration of NO2(g) and N2O4(g) were 0.52 and respectively.
Deduce, showing your reasoning, if the forward or the reverse reaction is favoured at this time.
Comment on the value of ΔG when the reaction quotient equals the equilibrium constant, Q = K.
Markscheme
lone pair on p orbital «of O atom» overlaps/delocalizes with pi electrons «from double bond»
both O–O bonds have equal bond length
OR
both O–O bonds have same/1.5 bond order
OR
both O–O are intermediate between O–O AND O=O
both O–O bonds have equal bond energy
Accept “p/pi/ electrons are delocalized/not localized”.
[3 marks]
ALTERNATIVE 1:
FC: –1 AND +1 AND 0
ALTERNATIVE 2:
FC: 0 AND +1 AND –1
Accept any combination of lines, dots or crosses to represent electrons.
Do not accept structure that represents 1.5 bonds.
Do not penalize missing lone pairs if already penalized in 3(b).
If resonance structure is incorrect, no ECF.
Any one of the structures with correct formal charges for [2 max].
[2 marks]
Any two of:
IE4: electron in lower/inner shell/energy level
OR
IE4: more stable/full electron shell
IE4: electron closer to nucleus
OR
IE4: electron more tightly held by nucleus
IE4: less shielding by complete inner shells
Accept “increase in effective nuclear charge” for M2.
[2 marks]
«Qc = =» 0.37
reaction proceeds to the left/NO2(g) «until Q = Kc»
OR
reverse reaction «favoured»
Do not award M2 without a calculation for M1 but remember to apply ECF.
[2 marks]
ΔG = 0
reaction at equilibrium
OR
rate of forward and reverse reaction is the same
OR
constant macroscopic properties
[2 marks]
Examiners report
Many reactions are in a state of equilibrium.
The following reaction was allowed to reach equilibrium at 761 K.
H2 (g) + I2 (g) 2HI (g) ΔHθ < 0
The pH of 0.010 mol dm–3 carbonic acid, H2CO3 (aq), is 4.17 at 25 °C.
H2CO3 (aq) + H2O (l) HCO3– (aq) + H3O+ (aq).
State the equilibrium constant expression, Kc , for this reaction.
The following equilibrium concentrations in mol dm–3 were obtained at 761 K.
Calculate the value of the equilibrium constant at 761 K.
Determine the value of ΔGθ, in kJ, for the above reaction at 761 K using section 1 of the data booklet.
Calculate [H3O+] in the solution and the dissociation constant, Ka , of the acid at 25 °C.
Calculate Kb for HCO3– acting as a base.
Markscheme
Kc =
45.6
ΔGθ = «– RT ln K = – (0.00831 kJ K−1 mol−1 x 761 K x ln 45.6) =» – 24.2 «kJ»
[H3O+] = 6.76 x 10–5 «mol dm–3»
Ka =
4.6 x 10–7
Accept 4.57 x 10–7
Award [3] for correct final answer.
« =» 2.17 x 10–8
OR
« =» 2.19 x 10–8
Examiners report
Hydrogen and iodine react to form hydrogen iodide.
H2 (g) + 2 (g) 2H (g)
The following experimental data was obtained.
Consider the reaction of hydrogen with solid iodine.
H2 (g) + 2 (s) 2H (g) ΔH⦵ = +53.0 kJ mol−1
Deduce the order of reaction with respect to hydrogen.
Deduce the rate expression for the reaction.
Calculate the value of the rate constant stating its units.
State two conditions necessary for a successful collision between reactants.
State the equilibrium constant expression, Kc, for this reaction.
Calculate the entropy change of reaction, ΔS⦵, in J K−1 mol−1.
Predict, giving a reason, how the value of the ΔS⦵reaction would be affected if (g) were used as a reactant.
Calculate the Gibbs free energy change, ΔG⦵, in kJ mol−1, for the reaction at 298 K. Use section 1 of the data booklet.
Calculate the equilibrium constant, Kc, for this reaction at 298 K. Use your answer to (d)(iii) and sections 1 and 2 of the data booklet.
(If you did not obtain an answer to (d)(iii) use a value of 2.0 kJ mol−1, although this is not the correct answer).
Markscheme
first order ✔
Rate=k [H2] [2]
✔
mol–1 dm3 s–1 ✔
E ≥ Ea AND appropriate «collision» geometry/correct orientation ✔
✔
«Δ = 2 × 206.6 – (130.6 + 116.1) =» 166.5 «J K–1 mol–1» ✔
Δ lower/less positive AND same number of moles of gas
OR
Δ lower/less positive AND a solid has less entropy than a gas ✔
«ΔG⦵ = 53.0 kJ mol–1 – (298K × 0.1665 kJ K–1 mol–1) =» 3.4 «kJ mol–1» ✔
«ln Kc= – (3.4 × 103 J mol–1 /8.31 J K–1 mol–1 × 298 K)» = –1.37 ✔
«Kc =» 0.25 ✔
Award [2] for “0.45” for the use of 2.0 kJ mol–1 for ΔG⦵.
Examiners report
4(a)(i)-(iii): Deduction of rate orders and rate expression were very well done overall, with occasional errors in the units of the rate constant, but clearly among the best answered questions.
Generally well answered by all but very weak candidates. Some teachers thought this should be a 2-mark question but actually the marks were generally missed when students mentioned both required conditions but failed to refer the necessary energy to Ea.
One of the best answered questions.
ΔS was well calculated in general except for some inverted calculations or failure to consider the ratios of the reactants.
Some candidates confused the entropy change in this situation with absolute entropy of a solid and gas, or having realised that entropy would decrease lacked clarity in their explanations and lost the mark.
4(d)(ii)-(d)(iv): marks were lost due to inconsistency of units throughout, i.e., not because answers were given in different units to those required, but because candidates failed to convert all data to the same unit for calculations.
Consider the following equilibrium reaction:
2SO2 (g) + O2 (g) 2SO3 (g)
State the equilibrium constant expression, Kc, for the reaction above.
State and explain how the equilibrium would be affected by increasing the volume of the reaction container at a constant temperature.
SO2 (g), O2 (g) and SO3 (g) are mixed and allowed to reach equilibrium at 600 °C.
Determine the value of Kc at 600 °C.
Markscheme
«Kc = » ✓
Square brackets required for the mark.
pressure decrease «due to larger volume» ✓
reaction shifts to side with more moles/molecules «of gas» ✓
reaction shifts left/towards reactants ✓
Award M3 only if M1 OR M2 awarded.
[O2] = 1.25 «mol dm−3» AND [SO3] = 3.50 «mol dm−3» ✓
«Kc ==» 4.36 ✓
Award [2] for correct final answer
Examiners report
White phosphorus is an allotrope of phosphorus and exists as P4.
An equilibrium exists between PCl3 and PCl5.
PCl3 (g) + Cl2 (g) PCl5 (g)
Sketch the Lewis (electron dot) structure of the P4 molecule, containing only single bonds.
Write an equation for the reaction of white phosphorus (P4) with chlorine gas to form phosphorus trichloride (PCl3).
Deduce the electron domain and molecular geometry using VSEPR theory, and estimate the Cl–P–Cl bond angle in PCl3.
Outline the reason why PCl5 is a non-polar molecule, while PCl4F is polar.
Calculate the standard enthalpy change (ΔH⦵) for the forward reaction in kJ mol−1.
ΔH⦵f PCl3 (g) = −306.4 kJ mol−1
ΔH⦵f PCl5 (g) = −398.9 kJ mol−1
Calculate the entropy change, ΔS, in J K−1 mol−1, for this reaction.
Chemistry 2e, Chpt. 21 Nuclear Chemistry, Appendix G: Standard Thermodynamic Properties for Selected Substances https://openstax.org/books/chemistry-2e/pages/g-standard-thermodynamic-properties-for- selectedsubstances# page_667adccf-f900-4d86-a13d-409c014086ea © 1999-2021, Rice University. Except where otherwise noted, textbooks on this site are licensed under a Creative Commons Attribution 4.0 International License. (CC BY 4.0) https://creativecommons.org/licenses/by/4.0/.
Calculate the Gibbs free energy change (ΔG), in kJ mol−1, for this reaction at 25 °C. Use section 1 of the data booklet.
If you did not obtain an answer in c(i) or c(ii) use −87.6 kJ mol−1 and −150.5 J mol−1 K−1 respectively, but these are not the correct answers.
Determine the equilibrium constant, K, for this reaction at 25 °C, referring to section 1 of the data booklet.
If you did not obtain an answer in (c)(iii), use ΔG = –43.5 kJ mol−1, but this is not the correct answer.
State the equilibrium constant expression, Kc, for this reaction.
State, with a reason, the effect of an increase in temperature on the position of this equilibrium.
Markscheme
Accept any diagram with each P joined to the other three.
Accept any combination of dots, crosses and lines.
P4 (s) + 6Cl2 (g) → 4PCl3 (l) ✔
Electron domain geometry: tetrahedral ✔
Molecular geometry: trigonal pyramidal ✔
Bond angle: 100«°» ✔
Accept any value or range within the range 91−108«°» for M3.
PCl5 is non-polar:
symmetrical
OR
dipoles cancel ✔
PCl4F is polar:
P–Cl has a different bond polarity than P–F ✔
non-symmetrical «dipoles»
OR
dipoles do not cancel ✔
Accept F more electronegative than/different electronegativity to Cl for M2.
«−398.9 kJ mol−1 − (−306.4 kJ mol−1) =» −92.5 «kJ mol−1» ✔
«ΔS = 364.5 J K–1 mol–1 – (311.7 J K–1 mol–1 + 223.0 J K–1 mol–1)=» –170.2 «J K–1 mol–1» ✔
«ΔS =» –0.1702 «kJ mol–1 K–1»
OR
298 «K» ✔
«ΔG = –92.5 kJ mol–1 – (298 K × –0.1702 kJ mol–1 K–1) =» –41.8 «kJ mol–1» ✔
Award [2] for correct final answer.
If –87.6 and -150.5 are used then –42.8.
«ΔG = –41.8 kJ mol–1 = × 298 K × lnK»
OR
«ΔG = –41800 J mol–1 = –8.31 J mol–1 K–1 × 298 K × lnK»
«lnK = =» 16.9 ✔
«K = e16.9 =» 2.19 × 107 ✔
Award [2] for correct final answer.
Accept range of 1.80 × 106–2.60 × 107.
If –43.5 is used then 4.25 × 107.
«Kc =» ✔
«shifts» left/towards reactants AND «forward reaction is» exothermic/ΔH is negative ✔
Examiners report
Phenylethene can be polymerized to form polyphenylethene (polystyrene, PS).
The major product of the reaction with hydrogen bromide is C6H5–CHBr–CH3 and the minor product is C6H5–CH2–CH2Br.
Draw the repeating unit of polyphenylethene.
Phenylethene is manufactured from benzene and ethene in a two-stage process. The overall reaction can be represented as follows with ΔGθ = +10.0 kJ mol−1 at 298 K.
Calculate the equilibrium constant for the overall conversion at 298 K, using section 1 of the data booklet.
The benzene ring of phenylethene reacts with the nitronium ion, NO2+, and the C=C double bond reacts with hydrogen bromide, HBr.
Compare and contrast these two reactions in terms of their reaction mechanisms.
Similarity:
Difference:
Outline why the major product, C6H5–CHBr–CH3, can exist in two forms and state the relationship between these forms.
Two forms:
Relationship:
The minor product, C6H5–CH2–CH2Br, can exist in different conformational forms (isomers).
Outline what this means.
The minor product, C6H5–CH2–CH2Br, can be directly converted to an intermediate compound, X, which can then be directly converted to the acid C6H5–CH2–COOH.
C6H5–CH2–CH2Br → X → C6H5–CH2–COOH
Identify X.
Markscheme
[✔]
Note: Do not penalize the use of brackets and “n”.
Do not award the mark if the continuation bonds are missing.
ln k «= » = –4.04 [✔]
k = 0.0176 [✔]
Note: Award [2] for correct final answer.
Similarity:
«both» involve an electrophile
OR
«both» electrophilic [✔]
Difference:
first/reaction of ring/with NO2+ is substitution/S«E» AND second/reaction of C=C/with HBr is addition/A«E» [✔]
Note: Answer must state which is substitution and which is addition for M2.
Two forms:
chiral/asymmetric carbon
OR
carbon atom attached to 4 different groups [✔]
Relationship:
mirror images
OR
enantiomers/optical isomers [✔]
Note: Accept appropriate diagrams for either or both marking points.
benzene ring «of the C6H5–CH2» and the bromine «on the CH2–Br» can take up different relative positions by rotating about the «C–C, σ–»bond [✔]
Note: Accept “different parts of the molecule can rotate relative to each other”.
Accept “rotation around σ–bond”.
C6H5–CH2–CH2OH [✔]
Examiners report
Most candidates were able to draw the monomer correctly. Some candidates made careless mistakes writing C6H6.
Another calculation which most candidates were able to work out, though some failed to convert ΔG given value in kJ mol-1 to J mol-1 or forgot the negative sign. Some used an inappropriate expression of R.
The strong candidates were generally able to see the similarity between the two reactions but unexpectedly some could not identify “electrophilic” as a similarity even if they referred to the differences as electrophilic substitution/addition, so probably were unable to understand what was being asked.
Candidates were given the products of the addition reaction and asked about the major product. Perhaps they were put off by the term “forms” and thus failed to “see” the chiral C that allowed the existence of enantiomers. There was some confusion with the type of isomerism and some even suggested cis/trans isomers.
If candidates seemed rather confused in the previous question, they seemed more so in this one. Most simply referred to isomers in general, not seeming to be slightly aware of what conformational isomerism is, even if it is in the curriculum.
Quite well answered though some candidates suggested an aldehyde rather than the alcohol, or forgot that C has two hydrogens apart from the -OH. In other cases, they left a Br there.
Ammonia is produced by the Haber–Bosch process which involves the equilibrium:
N2 (g) + 3 H2 (g) 2 NH3 (g)
The percentage of ammonia at equilibrium under various conditions is shown:
[The Haber Bosch Process [graph] Available at: https://commons.wikimedia.org/wiki/File:Ammonia_yield.png
[Accessed: 16/07/2022].]
One factor affecting the position of equilibrium is the enthalpy change of the reaction.
The standard free energy change, ΔG⦵, for the Haber–Bosch process is –33.0 kJ at 298 K.
Deduce the expression for the equilibrium constant, Kc, for this equation.
State how the use of a catalyst affects the position of the equilibrium.
With reference to the reaction quotient, Q, explain why the percentage yield increases as the pressure is increased at constant temperature.
Determine the enthalpy change, ΔH, for the Haber–Bosch process, in kJ. Use Section 11 of the data booklet.
Outline why the value obtained in (b)(i) might differ from a value calculated using ΔHf data.
Demonstrate that your answer to (b)(i) is consistent with the effect of an increase in temperature on the percentage yield, as shown in the graph.
State, giving a reason, whether the reaction is spontaneous or not at 298 K.
Calculate the value of the equilibrium constant, K, at 298 K. Use sections 1 and 2 of the data booklet.
Calculate the entropy change for the Haber–Bosch process, in J mol–1 K–1 at 298 K. Use your answer to (b)(i) and section 1 of the data booklet.
Outline, with reference to the reaction equation, why this sign for the entropy change is expected.
Markscheme
✔
same/unaffected/unchanged ✔
increasing pressure increases «all» concentrations
OR
increasing pressure decreases volume ✔
Q becomes less than Kc
OR
affects the lower line/denominator of Q expression more than upper line/numerator ✔
«for Q to once again equal Kc,» ratio of products to reactants increases
OR
«for Q to once again equal Kc,» equilibrium shifts to right/products ✔
Award [2 max] for answers that do not refer to Q.
bonds broken: N≡N + 3(H-H) /«1 mol×»945 «kJ mol–1» + 3«mol»×436 «kJ mol–1» / 945 «kJ» + 1308 «kJ» / 2253 «kJ» ✔
bonds formed: 6(N-H) / 6«mol»×391 «kJ mol–1» / 2346 «kJ» ✔
ΔH = «2253 kJ - 2346 kJ = » -93 «kJ» ✔
Award [2 max] for (+)93 «kJ».
«N-H» bond enthalpy is an average «and may not be the precise value in NH3» ✔
Accept ΔHf data are more accurate / are not average values.
increased temperature decreases yield «as shown on graph» ✔
shifts equilibrium in endothermic/reverse direction ✔
spontaneous AND ΔG < 0 ✔
✔
✔
Award [2] for correct final answer.
Accept answers in the range 4.4×105 to 6.2×105 (arises from rounding of ln K).
ΔG = «ΔH – TΔS =» –93000 «J» – 298«K» × ΔS = –33000 ✔
ΔS = 〈〈〉〉 = –201 «J mol–1 K–1» ✔
Do not penalize failure to convert kJ to J in both (c)(ii) and (c)(iii).
Award [2] for correct final answer
Award [1 max] for (+) 201 «J mol–1 K–1».
Award [2] for –101 or –100.5 «J mol–1 K–1».
«forward reaction involves» decrease in number of moles «of gas» ✔
Examiners report
Deducing the equilibrium constant expression for the given equation was done very well.
Good performance; however, some misread the question as asking for the effect of a catalyst on equilibrium, rather than on the position of equilibrium.
Mediocre performance; very few identified the effect of increasing pressure on all concentrations. Consequently, Q becomes less than Kc (it affects the denominator of Q expression more than the numerator) was not addressed. Question was often answered with respect to kinetics, namely greater frequency of collisions and speed of reaction rather than from equilibrium perspective based on effect of increase in pressure on concentrations.
Good performance; often the bond energy for single N–N bond instead of using it for the triple bond and not taking into consideration the coefficient of three in calculation of bond enthalpies of ammonia. Also, instead of using BE of bonds broken minus those that were formed, the operation was often reversed. Students should be encouraged to draw the Lewis structures in the equations first to determine the bonds being broken and formed.
Outlining why ΔHrxn based on BE values differ due to being average compared to using ΔHf values was generally done well.
Good performance; some did not relate that increased temperature decreases yield «as shown on graph» and others arrived at incorrect shift in equilibrium for the reaction.
Reason for the reaction being spontaneous was generally very done well indeed.
Good performance; for lnK calculation in the equation ΔG = RTlnK, ΔG unit had to be converted from kJ to J. This led to an error of 1000 in the value of lnK for some.
Very good performance; since the unit for S is J mol˗1 K˗1, ΔG and ΔH needed to be converted from kJ to J, but that was not done in some cases.
Average performance for sign of the entropy change expected for the reaction. Some answers were based on ΔG value rather than in terms of decrease in number of moles of gas or had no idea how to address the question.
Urea, (H2N)2CO, is excreted by mammals and can be used as a fertilizer.
Urea can also be made by the direct combination of ammonia and carbon dioxide gases.
2NH3(g) + CO2(g) (H2N)2CO(g) + H2O(g) ΔH < 0
Calculate the percentage by mass of nitrogen in urea to two decimal places using section 6 of the data booklet.
Suggest how the percentage of nitrogen affects the cost of transport of fertilizers giving a reason.
The structural formula of urea is shown.

Predict the electron domain and molecular geometries at the nitrogen and carbon atoms, applying the VSEPR theory.

Urea can be made by reacting potassium cyanate, KNCO, with ammonium chloride, NH4Cl.
KNCO(aq) + NH4Cl(aq) → (H2N)2CO(aq) + KCl(aq)
Determine the maximum mass of urea that could be formed from 50.0 cm3 of 0.100 mol dm−3 potassium cyanate solution.
State the equilibrium constant expression, Kc.
Predict, with a reason, the effect on the equilibrium constant, Kc, when the temperature is increased.
Determine an approximate order of magnitude for Kc, using sections 1 and 2 of the data booklet. Assume ΔGΘ for the forward reaction is approximately +50 kJ at 298 K.
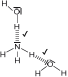
Suggest one reason why urea is a solid and ammonia a gas at room temperature.
Sketch two different hydrogen bonding interactions between ammonia and water.
The combustion of urea produces water, carbon dioxide and nitrogen.
Formulate a balanced equation for the reaction.
Calculate the maximum volume of CO2, in cm3, produced at STP by the combustion of 0.600 g of urea, using sections 2 and 6 of the data booklet.
Describe the bond formation when urea acts as a ligand in a transition metal complex ion.
The C–N bonds in urea are shorter than might be expected for a single C–N bond. Suggest, in terms of electrons, how this could occur.
The mass spectrum of urea is shown below.

Identify the species responsible for the peaks at m/z = 60 and 44.
The IR spectrum of urea is shown below.

Identify the bonds causing the absorptions at 3450 cm−1 and 1700 cm−1 using section 26 of the data booklet.
Predict the number of signals in the 1H NMR spectrum of urea.
Predict the splitting pattern of the 1H NMR spectrum of urea.
Outline why TMS (tetramethylsilane) may be added to the sample to carry out 1H NMR spectroscopy and why it is particularly suited to this role.
Markscheme
molar mass of urea «4 1.01 + 2 14.01 + 12.01 + 16.00» = 60.07 «g mol-1»
«% nitrogen = 100 =» 46.65 «%»
Award [2] for correct final answer.
Award [1 max] for final answer not to two decimal places.
[2 marks]
«cost» increases AND lower N% «means higher cost of transportation per unit of nitrogen»
OR
«cost» increases AND inefficient/too much/about half mass not nitrogen
Accept other reasonable explanations.
Do not accept answers referring to safety/explosions.
[1 mark]

Note: Urea’s structure is more complex than that predicted from VSEPR theory.
[3 marks]
n(KNCO) «= 0.0500 dm3 0.100 mol dm–3» = 5.00 10–3 «mol»
«mass of urea = 5.00 10–3 mol 60.07 g mol–1» = 0.300 «g»
Award [2] for correct final answer.
[2 marks]
[1 mark]
«Kc» decreases AND reaction is exothermic
OR
«Kc» decreases AND ΔH is negative
OR
«Kc» decreases AND reverse/endothermic reaction is favoured
[1 mark]
ln K « = » = –20
«Kc =» 2 10–9
OR
1.69 10–9
OR
10–9
Accept range of 20-20.2 for M1.
Award [2] for correct final answer.
[2 marks]
Any one of:
urea has greater molar mass
urea has greater electron density/greater London/dispersion
urea has more hydrogen bonding
urea is more polar/has greater dipole moment
Accept “urea has larger size/greater van der Waals forces”.
Do not accept “urea has greater intermolecular forces/IMF”.
[1 mark]

Award [1] for each correct interaction.
If lone pairs are shown on N or O, then the lone pair on N or one of the lone pairs on O MUST be involved in the H-bond.
Penalize solid line to represent H-bonding only once.
[2 marks]
2(H2N)2CO(s) + 3O2(g) → 4H2O(l) + 2CO2(g) + 2N2(g)
correct coefficients on LHS
correct coefficients on RHS
Accept (H2N)2CO(s) + O2(g) → 2H2O(l) + CO2(g) + N2(g).
Accept any correct ratio.
[2 marks]
«V = 22700 cm3 mol–1 =» 227 «cm3»
[1 mark]
lone/non-bonding electron pairs «on nitrogen/oxygen/ligand» given to/shared with metal ion
co-ordinate/dative/covalent bonds
[2 marks]
lone pairs on nitrogen atoms can be donated to/shared with C–N bond
OR
C–N bond partial double bond character
OR
delocalization «of electrons occurs across molecule»
OR
slight positive charge on C due to C=O polarity reduces C–N bond length
[1 mark]
60: CON2H4+
44: CONH2+
Accept “molecular ion”.
[2 marks]
3450 cm–1: N–H
1700 cm–1: C=O
Do not accept “O–H” for 3450 cm–1.
[2 marks]
1
[2 marks]
singlet
Accept “no splitting”.
[1 mark]
acts as internal standard
OR
acts as reference point
one strong signal
OR
12 H atoms in same environment
OR
signal is well away from other absorptions
Accept “inert” or “readily removed” or “non-toxic” for M1.
[2 marks]
Examiners report
Hydrogen peroxide can react with methane and oxygen to form methanol. This reaction can occur below 50°C if a gold nanoparticle catalyst is used.
Now consider the second stage of the reaction.
CO (g) + 2H2 (g) CH3OH (l) ΔH⦵ = –129 kJ
Hydrogen peroxide can react with methane and oxygen to form methanol. This reaction can occur below 50°C if a gold nanoparticle catalyst is used.
Methanol is usually manufactured from methane in a two-stage process.
CH4 (g) + H2O (g) CO (g) + 3H2 (g)
CO (g) + 2H2 (g) CH3OH (l)
Consider the first stage of the reaction.
CH4 (g) + H2O (g) CO (g) + 3H2 (g)
The diagram shows the Maxwell-Boltzmann curve for the uncatalyzed reaction.
Draw a distribution curve at a lower temperature (T2) and show on the diagram how the addition of a catalyst enables the reaction to take place more rapidly than at T1.
The hydrogen peroxide could cause further oxidation of the methanol. Suggest a possible oxidation product.
Determine the overall equation for the production of methanol.
8.00 g of methane is completely converted to methanol. Calculate, to three significant figures, the final volume of hydrogen at STP, in dm3. Use sections 2 and 6 of the data booklet.
Determine the enthalpy change, ΔH, in kJ. Use section 11 of the data booklet.
Bond enthalpy of CO = 1077 kJ mol−1.
State one reason why you would expect the value of ΔH calculated from the values, given in section 12 of data booklet, to differ from your answer to (d)(i).
State the expression for Kc for this stage of the reaction.
State and explain the effect of increasing temperature on the value of Kc.
The equilibrium constant, Kc, has a value of 1.01 at 298 K.
Calculate ΔG⦵, in kJ mol–1, for this reaction. Use sections 1 and 2 of the data booklet.
Calculate a value for the entropy change, ΔS⦵, in J K–1 mol–1 at 298 K. Use your answers to (e)(i) and section 1 of the data booklet.
If you did not get answers to (e)(i) use –1 kJ, but this is not the correct answer.
Justify the sign of ΔS with reference to the equation.
Predict, giving a reason, how a change in temperature from 298 K to 273 K would affect the spontaneity of the reaction.
Markscheme
curve higher AND to left of T1 ✔
new/catalysed Ea marked AND to the left of Ea of curve T1 ✔
Do not penalize curve missing a label, not passing exactly through the origin, or crossing x-axis after Ea.
Do not award M1 if curve drawn shows significantly more/less molecules/greater/smaller area under curve than curve 1.
Accept Ea drawn to T1 instead of curve drawn as long as to left of marked Ea.
methanoic acid/HCOOH/CHOOH
OR
methanal/HCHO ✔
Accept “carbon dioxide/CO2”.
CH4(g) + H2O(g) CH3OH(l) + H2(g) ✔
Accept arrow instead of equilibrium sign.
amount of methane = « = » 0.498 «mol» ✔
amount of hydrogen = amount of methane / 0.498 «mol» ✔
volume of hydrogen = «0.498 mol × 22.7 dm3 mol−1 = » 11.3 «dm3» ✔
Award [3] for final correct answer.
Award [2 max] for 11.4 «dm3 due to rounding of mass to 16/moles to 0.5. »
Σbonds broken = 4 × 414 «kJ» + 2 × 463 «kJ» / 2582 «kJ» ✔
Σbonds formed = 1077 «kJ» + 3 × 436 «kJ» / 2385 «kJ» ✔
ΔH «= Σbonds broken − Σbonds formed =( 2582 kJ − 2385 kJ)» = «+»197«kJ» ✔
Award [3] for final correct answer.
Award [2 Max] for final answer of −197 «kJ»
bond energies are average values «not specific to the compound» ✔
✔
Kc increases AND «forward» reaction endothermic ✔
«ΔG⦵ = − RT lnKc»
ΔG⦵ = − 8.31 «J K−1 mol−1» × 298 «K» × ln (1.01) / −24.6 «J mol−1» ✔
= −0.0246 «kJ mol–1» ✔
Award [2] for correct final answer.
Award [1 max] for +0.0246 «kJ mol–1».
«ΔG⦵ = ΔH⦵ − TΔS⦵»
ΔG⦵ = −129 «kJ mol–1» − (298 «K» × ΔS) = −0.0246 «kJ mol–1» ✔
ΔS⦵ = « = » −433 «J K–1 mol–1» ✔
Award [2] for correct final answer.
Award [1 max] for “−0.433 «kJ K–1 mol–1»”.
Award [1 max] for “433” or “+433” «J K–1 mol–1».
Award [2] for −430 «J K–1 mol–1» (result from given values).
«negative as» product is liquid and reactants gases
OR
fewer moles of gas in product ✔
reaction «more» spontaneous/ΔG negative/less positive AND effect of negative entropy decreases/TΔS increases/is less negative/more positive
OR
reaction «more» spontaneous/ΔG negative/less positive AND reaction exothermic «so Kc increases » ✔
Award mark if correct calculation shown.
Examiners report
This reaction is used in the manufacture of sulfuric acid.
2SO2 (g) + O2 (g) 2SO3 (g) Kc = 280 at 1000 K
State why this equilibrium reaction is considered homogeneous.
Predict, giving your reason, the sign of the standard entropy change of the forward reaction.
Calculate the standard Gibbs free energy change, ΔGΘ, in kJ, for this reaction at 1000 K. Use sections 1 and 2 of the data booklet.
Predict, giving your reasons, whether the forward reaction is endothermic or exothermic. Use your answers to (b) and (c).
0.200 mol sulfur dioxide, 0.300 mol oxygen and 0.500 mol sulfur trioxide were mixed in a 1.00 dm3 flask at 1000 K.
Predict the direction of the reaction showing your working.
Markscheme
all «species» are in same phase ✔
Accept “all species are in same state”.
Accept “all species are gases”.
negative AND fewer moles/molecules «of gas» in the products ✔
ΔGΘ =«–RT ln Kc =» –8.31 J K–1 mol–1 × 1000 K × ln 280
OR
ΔGΘ = – 4.7 × 104 «J» ✔
«ΔGΘ =» – 47 «kJ» ✔
Award [2] for correct final answer.
ΔGΘ < 0/spontaneous AND ΔSΘ < 0/unfavourable ✔
exothermic AND ΔHΘ «must be» negative/favourable ✔
«reaction quotient/Q =» ✔
reaction quotient/Q/20.8/answer < Kc/280
OR
mixture needs more product for the number to equal Kc ✔
reaction proceeds to the right/products ✔
Do not award M3 without valid reasoning.
Examiners report
A mixture of 1.00 mol SO2(g), 2.00 mol O2(g) and 1.00 mol SO3(g) is placed in a 1.00 dm3 container and allowed to reach equilibrium.
2SO2(g) + O2(g) 2SO3(g)
Nitrogen oxide is in equilibrium with dinitrogen dioxide.
2NO(g) N2O2(g) ΔHΘ < 0
Deduce, giving a reason, the effect of increasing the temperature on the concentration of N2O2.
A two-step mechanism is proposed for the formation of NO2(g) from NO(g) that involves an exothermic equilibrium process.
First step: 2NO(g) N2O2(g) fast
Second step: N2O2(g) + O2 (g) → 2NO2(g) slow
Deduce the rate expression for the mechanism.
The rate constant for a reaction doubles when the temperature is increased from 25.0 °C to 35 °C.
Calculate the activation energy, Ea, in kJ mol−1 for the reaction using section 1 and 2 of the data booklet.
Markscheme
[N2O2] decreases AND exothermic «thus reverse reaction favoured»
Accept “product” for [N2O2].
Do not accept just “reverse reaction favoured/shift to left” for “[N2O2] decreases”.
[1 mark]
ALTERNATIVE 1:
«from equilibrium, step 1»
OR
[N2O2] = Kc[NO]2
«from step 2, rate «= k1[N2O2][O2] = k2K[NO]2[O2]»
rate = k[NO]2[O2]
ALTERNATIVE 2:
«from step 2» rate = k2[N2O2][O2]
«from step 1, rate(1) = k1[NO]2 = k–1[N2O2], [N2O2] = [NO]2»
«rate = k2[NO]2[O2]»
rate = k[NO]2[O2]
Award [2] for correct rate expression.
[2 marks]
«»
T2 = «273 + 35 =» 308 K AND T1 = «273 + 25 =» 298 K
Ea = 52.9 «kJ mol–1»
Award [2] for correct final answer.
[2 marks]
Examiners report
This question is about iron.
Deduce the full electron configuration of Fe2+.
Explain why, when ligands bond to the iron ion causing the d-orbitals to split, the complex is coloured.
State the nuclear symbol notation, , for iron-54.
Mass spectrometry analysis of a sample of iron gave the following results:
Calculate the relative atomic mass, Ar, of this sample of iron to two decimal places.
An iron nail and a copper nail are inserted into a lemon.
Explain why a potential is detected when the nails are connected through a voltmeter.
Calculate the standard electrode potential, in V, when the Fe2+ (aq) | Fe (s) and Cu2+ (aq) | Cu (s) standard half-cells are connected at 298 K. Use section 24 of the data booklet.
Calculate ΔGθ, in kJ, for the spontaneous reaction in (f)(i), using sections 1 and 2 of the data booklet.
Calculate a value for the equilibrium constant, Kc, at 298 K, giving your answer to two significant figures. Use your answer to (f)(ii) and section 1 of the data booklet.
(If you did not obtain an answer to (f)(ii), use −140 kJ mol−1, but this is not the correct value.)
Markscheme
1s2 2s2 2p6 3s2 3p6 3d6 [✔]
«frequency/wavelength of visible» light absorbed by electrons moving between d levels/orbitals [✔]
colour due to remaining frequencies
OR
complementary colour transmitted [✔]
[✔]
«Ar =» 54 × 0.0584 + 56 × 0.9168 + 57 × 0.0217 + 58 × 0.0031
OR
«Ar =» 55.9111 [✔]
«Ar =» 55.91 [✔]
Note: Award [2] for correct final answer
Do not accept data booklet value (55.85).
lemon juice is the electrolyte
OR
lemon juice allows flow of ions
OR
each nail/metal forms a half-cell with the lemon juice [✔]
Any one of:
iron is higher than copper in the activity series
OR
each half-cell/metal has a different redox/electrode potential [✔]
iron is oxidized
OR
Fe → Fe2+ + 2e−
OR
Fe → Fe3+ + 3e−
OR
iron is anode/negative electrode of cell [✔]
copper is cathode/positive electrode of cell
OR
reduction occurs at the cathode
OR
2H+ + 2e− → H2 [✔]
electrons flow from iron to copper [✔]
«Eθ = +0.34 V −(−0.45 V) = +»0.79 «V» [✔]
«ΔGθ = −nFEθ = −2mol × 96 500 C mol−1 × =» −152 «kJ» [✔]
Note: Accept range 150−153 kJ.
«lnKc = =» 61.38 [✔]
K = 4.5 × 1026 [✔]
Note: Accept answers in range 2.0 × 1026 to 5.5 × 1026.
Do not award M2 if answer not given to two significant figures.
If −140 kJmol−1 used, answer is 3.6 × 1024.
Examiners report
Done fairly well with common mistakes leaving in the 4s2 electrons as part of Fe2+ electron configuration, or writing 4s1 3d5
This was poorly answered and showed a clear misconception and misunderstanding of the concepts. Most of the candidates failed to explain why the complex is coloured and based their answers on the emission of light energy when electrons fall back to ground state and not on light absorption by electrons moving between the split d-orbitals and complementary colour transmitted of certain frequencies.
Many candidates wrote the nuclear notation for iron as Z over A.
This question on average atomic mass was the best answered question on the exam. A few candidates did not write the answer to two decimal places as per instructions.
Very few candidates scored M1 regarding the lemon juice role as electrolyte. Some earned M2 but a lot of answers were too vague, such as ‘electrons move through the circuit’, etc.
Only 50 % of candidates earned this relatively easy mark on calculate EMF from 2 half-cell electrode potentials.
Average performance; typical errors were using the incorrect value for n, the number of electrons, or not using consistent units and making a factor of 1000 error in the final answer.
This question was left blank by quite a few candidates. Common errors included not using correct units, or more often, calculation error in converting ln Kc into Kc value.